铬,作为地球上三大黑色金属之一。尽管它与广泛应用的铁(钢)拥有相同的晶体对称性和滑移系,但由于其独特的外层电子构型(3d⁵4s¹)带来了强金属键,导致铬及其合金延展性和加工性能差,难以直接作为结构或功能合金使用。如何让这类传统金属“点石成金”,在实现特定功能的同时突破力学性能瓶颈,一直是固体领域的前沿热点。近期,北京科技大学邢献然教授团队改善了这一难点,开发出一种组分为Cr96Fe4Ge1.3B1铬合金。该合金不仅具备优异的低热膨胀(αl =1.79×10-6 K-1,200-315 K),还展现出 240.2 J·cm⁻³ 的高韧性。该研究成果近期已在《自然·通讯》(Nature Communications)上在线发表。

图1 原文和摘要
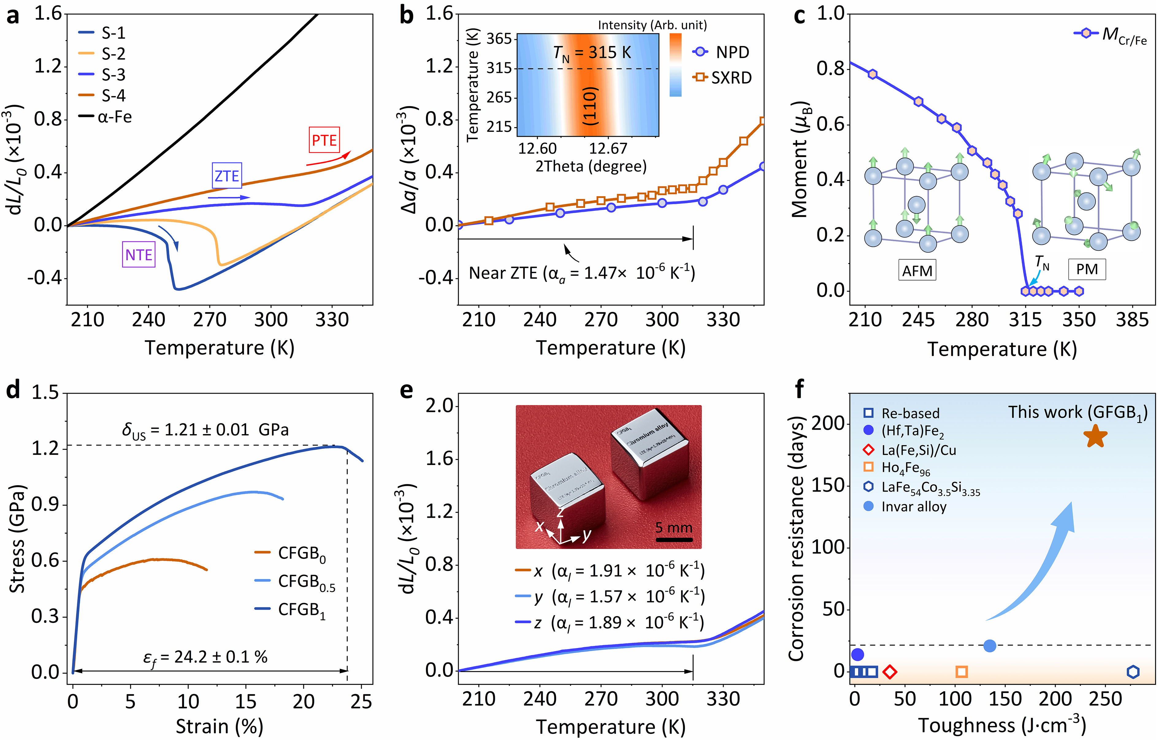
通过化学调控手段,在具有低热膨胀特性的Cr-Fe-Ge体系中引入非磁性元素硼(B),构建了包含体心立方(BCC)基体和层状Cr2B析出相的双相合金(CFGB1)。研究表明,BCC基体中的反铁磁有序是驱动合金产生低热膨胀行为的关键(图2)。同时,合金机械性能的显著提升主要归功于层状Cr2B金属间化合物析出相,它不仅细化了晶粒结构,且B原子在晶界处的富集极大地改善了界面结合力。

图2 ZTE合金的设计策略
进一步的电子结构和显微分析表明,在加载变形过程中,Cr-B层内较弱的层间相互作用促进了析出相中大量微小堆垛层错的形核与运动,这种特殊的滑动模式有效释放了界面应变能,并带来了显著的加工硬化能力(图3)。此外,由于其天然的异质结构,该合金在3.5 wt.%的氯化钠溶液中(超过190天)展现出优异的耐腐蚀性和热循环稳定性。该工作为设计具有层状对称析出相的高性能铬基合金开辟了新途径。

图3 Cr2B相原子级层错表征和电子结构计算
该成果以 “Atomic faulting drives exceptional toughness in low thermal expansion chromium alloys” 为题,于2026年近期发表在《自然·通讯》(Nature Communications)。论文共同第一作者为北京科技大学余成意博士、吴宏辉研究员和朱绘卉博士,通讯作者为北京科技大学邢献然教授。该工作得到了国家重点研发计划、国家自然科学基金以及中国博士后科学基金等项目的资助。论文链接:https://doi.org/10.1038/s41467-026-69365-5。